[ MATH 211 SYLLABUS LINK ]

Time and Place:

Time: Wed, Fri 10:00am-11:25am
Room: TBA

Office Hours:

Cullimore Hall 616, Thu & Fri 4:00pm - 5:30pm
or by appointment: matveev@njit.edu

Common Exam Info:

Exam 1: 4:15-5:40pm, September 30, Room: TBA
Exam 2: 4:15-5:40pm, March 11, Room: TBA
Exam 3: 4:15-5:40pm, April 22, Room: TBA
Final Exam: 3:15-5:45pm, December 11-17, Room: TBA

Past Exams:

[ Link to Older NJIT Math Exams ]

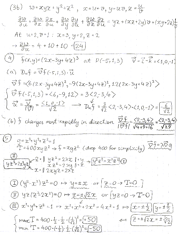
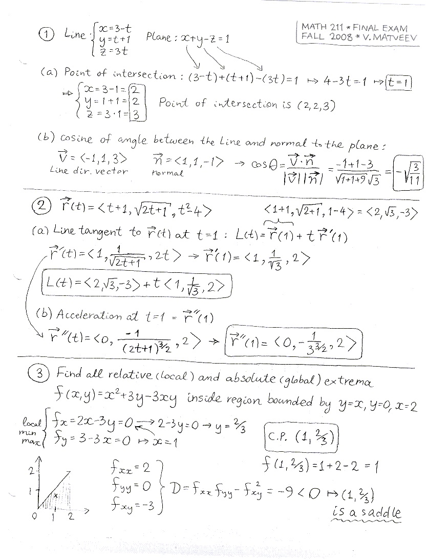
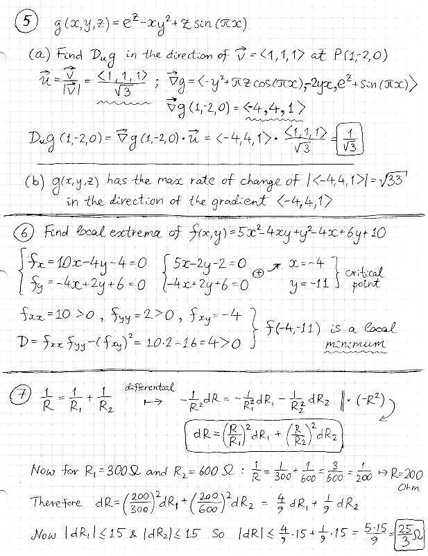
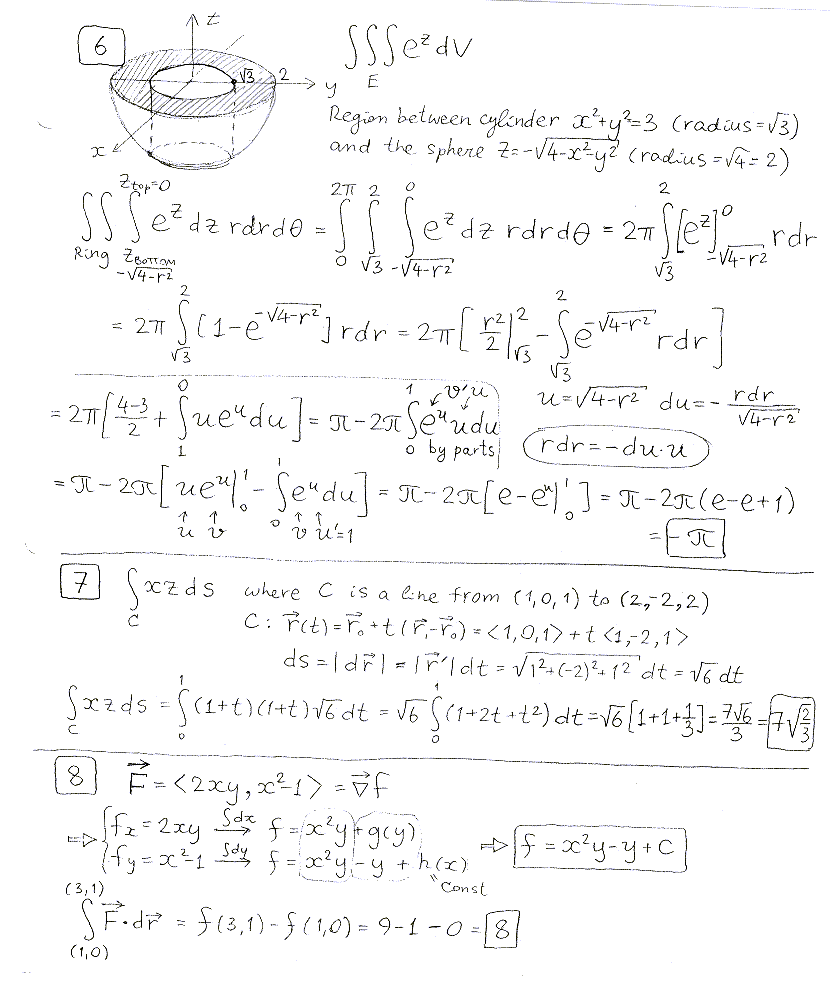
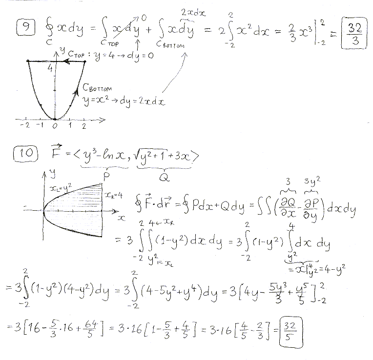
[ Fall 2008, Final Exam ] Solutions: [ part 1 ] [ part 2 ] [ part 3 ] [ part 4 ]
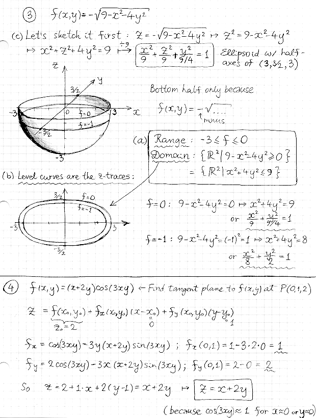
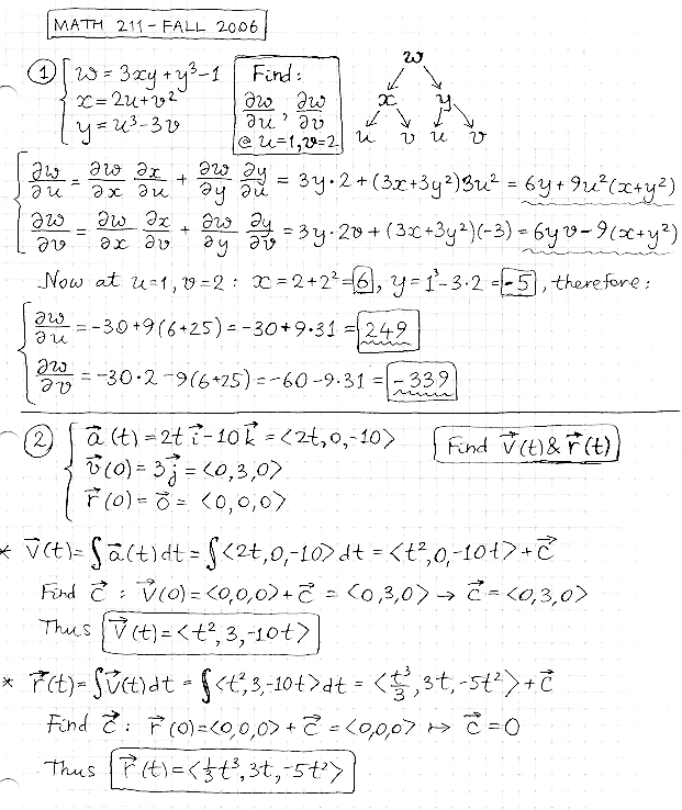
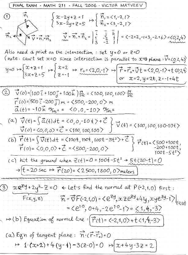
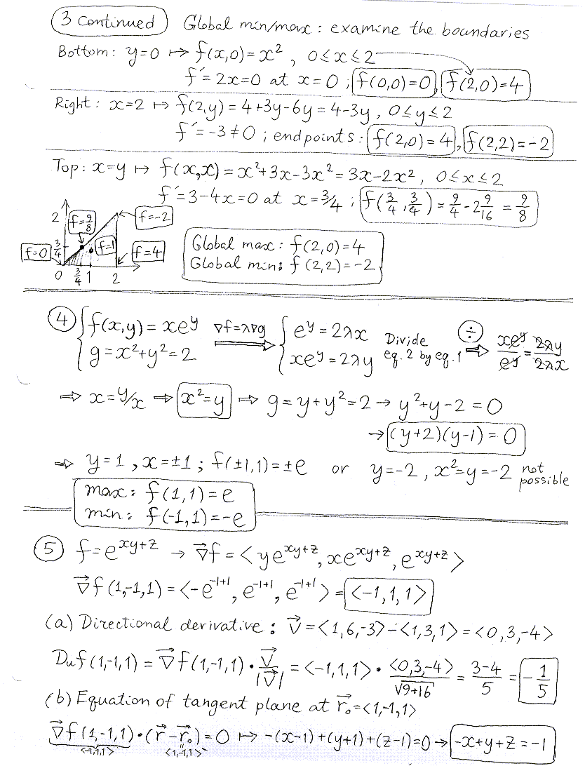
[ Fall 2006, Final Exam ] Solutions: [ part 1 ] [ part 2 ] [ part 3 ]
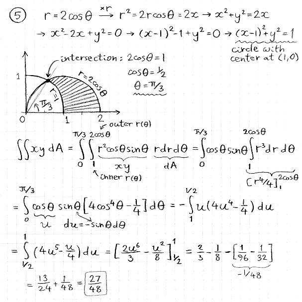
[ Fall 2008, Common Exam 3 ] Solutions: [ part 1 ] [ part 2 ]     Note a typo in problem 2: wrong integration order
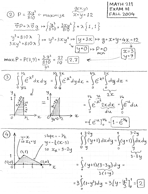
[ Fall 2004, Common Exam 3 ] Solutions: [ part 1 ] [ part 2 ] [ part 3 ]
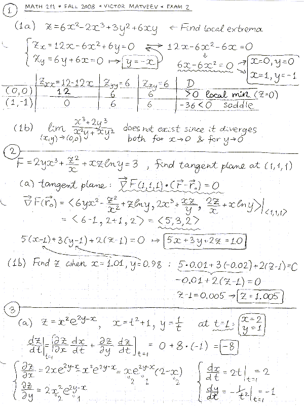
[ Fall 2008, Common Exam 2 ] Solutions: [ part 1 ] [ part 2 ]
[ Fall 2006, Common Exam 2 ] Solutions: [ part 1 ] [ part 2 ] [ part 3 ]
[ Fall 2008, Common Exam 1 ] Solutions: [ part 1 ]


NJIT Math Dept links:

Math Dept Homepage
Math Dept Undergrad info
Math Course Materials
Math Course Syllabi
Math Undergrad Advisors
Math Research Opportunities

NJIT links:

NJIT Highlander Pipeline
NJIT Registrar
NJIT Software
NJIT ADM Account
NJIT Directory
NJIT Athletic Facilities

Misc Math links:

Math World
MATLAB | Maple | Mathematica
MATLAB tutorials | manual
eCalculus.org
Visual Calculus
Quick Math
Math Archives
Math Search

Maintained by Victor Matveev
This server is running a Redhat distribution of Linux.
Last modified: Aug 10, 2009