[ MATH 331-002 SYLLABUS LINK ]
[ MATH 331-004 SYLLABUS LINK ]


Office Hours: Cullimore Hall 616, Mon, Wed: 1:30pm-2:30pm & Thu 2:00pm-3:00pm (or by appointment)


Textbook:

R. Haberman "Applied Partial Differential Equations" (4th or 5thEd.) Pearson Prentice-Hall



Homework and solutions:

   


MATLAB code, etc:

Plotting a function of single variable
Plotting a function of two variables
Fourier example: saw-tooth function


Exam solutions:

<
Midterm Exam 331-002, Spring 2017: [ exam ] Solutions: [ pdf ]
Midterm Exam 331-004, Spring 2017: [ exam ] Solutions: [ pdf ]
Final Exam, Fall 2016: [ exam ] Solutions: [ pdf ]
Midterm Exam, Fall 2016: [ exam ] Solutions: [ pdf ]
Final Exam, Fall 2010: [ exam ] Solutions: [ pdf ]
Midterm Exam, Fall 2010: [ exam ] Solutions: [ pdf ]
Final Exam, Fall 2008: [ exam ] Solutions: [ pdf ]
Midterm Exam, Fall 2008: [ exam ] Solutions: [ pdf ]
Final Exam, Fall 2007: [ exam ] Solutions: [ 1 ] [ 2 ] [ 3 ] [ 4 ]
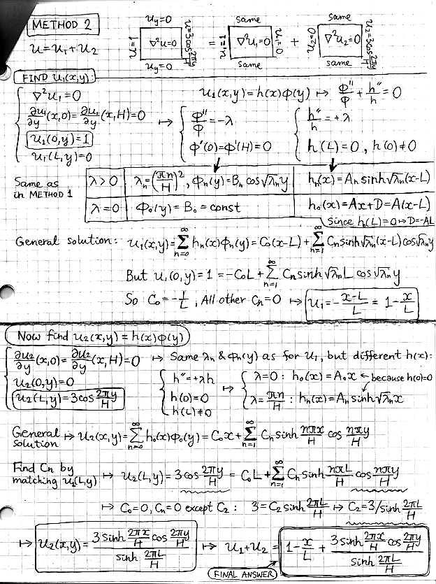
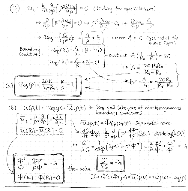
Midterm #2, Fall 2007: [ 1 ] [ 2 ] Solutions: [ 1 ] [ 2 ] [ 3 ]
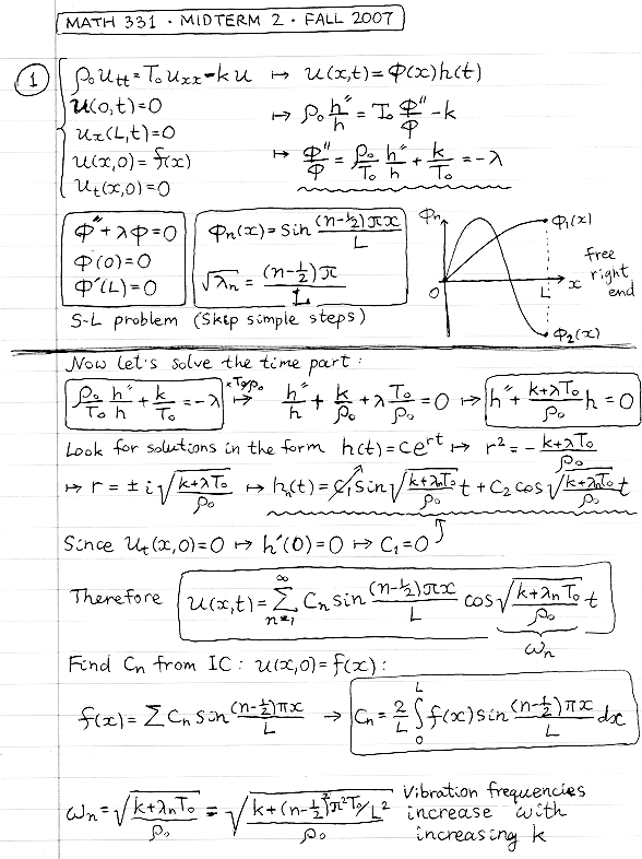
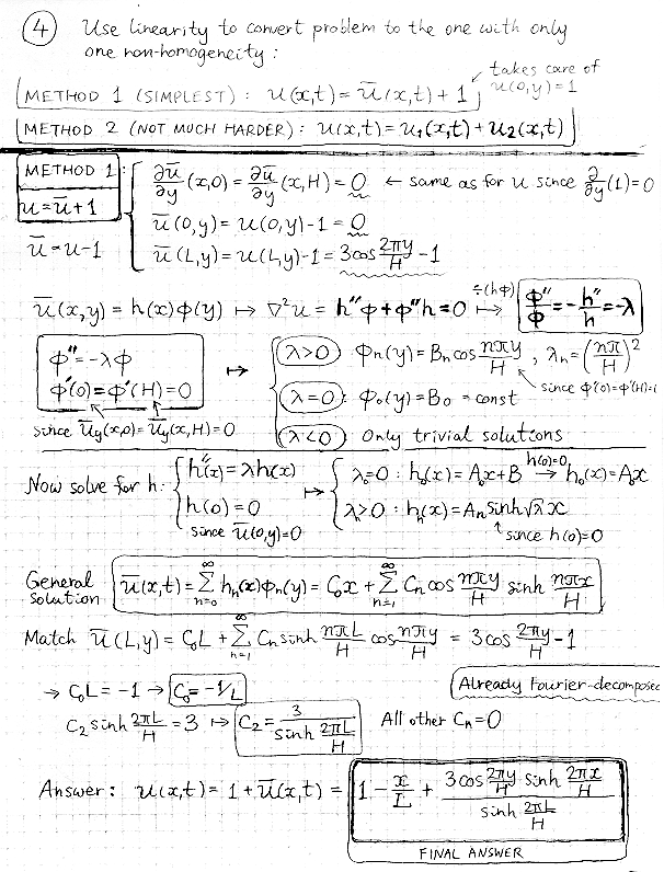
Midterm #1, Fall 2007: [ exam ] Solutions: [ 1 ] [ 2 ] [ 3 ] [ 4 ]


NJIT Math Dept links:

Math Dept Homepage
Math Dept Undergrad info
Math Course Materials
Math Course Syllabi
Math Undergrad Advisors
Math Research Opportunities

NJIT links:

NJIT Highlander Pipeline
NJIT Registrar
NJIT Software
NJIT ADM Account
NJIT Directory
NJIT Athletic Facilities

Misc Math links:

Wolfram Alpha
Math World
MATLAB | Maple | Mathematica
MATLAB tutorials | manual
eCalculus.org
Visual Calculus
Quick Math
Math Archives
Math Search

Maintained by Victor Matveev
Last modified: Aug 29, 2016